实效电离度
发布人:qq20180716112028974    发布时间: 2019-07-23 16:23:44    浏览量:85

理论与实践证明,混合气体的实效电离电压取决于低电离电压的物质

1Fe(7.8V)+K(4.3V)混合气体的实效电离电压

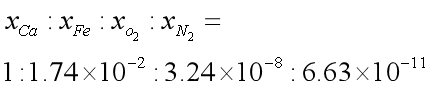
例2      5000K,1atm

Ca(6.1)+Fe(7.8)+O2(12.2)+N2(15.5)混合气体的电离度


×
确定
讨论
问答
笔记
学习笔记
即时讨论
取消
提交
请选择笔记类型
全课笔记
定时笔记4:40
已有笔记
更多操作请访问笔记区
更多操作请访问笔记区
更多操作请访问笔记区
取消
提交
更多操作请访问讨论区
编号单元名称主视频时长完成度成绩备注
1第一章90%
2第二章90%
3第三章90%
4第四章90%
5第五章90%
6第六章90%
7第七章90%
8第八章90%
9第九章90%
10第十章90%
11第十一章90%
12第十二章90%
13绪论90%